저유전율 원사 적용 유리섬유 직물 시생산 : 유전율 : 4.78 (10 GHz) 유전손실율 : 0.0038 (10 GHz)
유리섬유 원단 직조 기술 개발 : 1035급 두께 30㎛, 중량 22 g/m2

[저유전 1035 원단 TEST]
Low loss Inorganic Materials 개발 : 유전율: 3.06, 유전손실: 0.00033

[저유전 1035 원단 TEST]
Mg 복합산화물 필러 개발 - 유전율: 3.54, 유전손실: 0.00351 (10GHz)

[유리섬유 표면 처리 특성 평가(젖음성)]
Bismaleimide의 사업화
1차 설비투자 완료 - 3Lube 신규반응기 14억원

[설치 반응기]
특수 씨아네이트에스테르 Scale-up 안정화 및 물성 확보

[Scale-up 안정화 및 물성]
Phosphinate계 첨가형 난연제 신공정 개발
| 구분(난연제) | 개발 목표 | 개발 실적 | 비고 |
|---|---|---|---|
| 비할로겐 (Phosphinate계) |
• 내열성 : ≥300℃ • 할로겐함유율(Cl, Br) : ≤ 900ppm • 난연성 : UL-V0 |
• 내열성 : 376℃(FITI 시험연구원) • 할로겐함유율(Cl, Br) : N.D 미함유(SGS) • 난연성 : UV-V0(FITI 시험연구원) |
• 유전특성(KETI) - Dk : 2.52 - Df : 0.0025 |
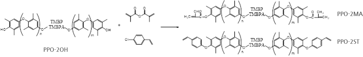
PPO계열 저유전 수지 합성기술 개발
- PPO-2MA, PPO-2ST 합성 및 정제기술 개발

[설치 반응기]
10GHz 이상 대역 유전특성 및 열 물성 평가시스템
100GHz 이상 대역의 소재특성 분석 장치인 BCDR 장치를 국내 최초로 구축

[Balanced Type Circular Disk Resonator 및 Split Cylinder Resonator]
분자동역학 시뮬레이션을 통한 유전특성 예측 기술
기계학습 기반 고분자 물성예측 및 역설계 시스템

저유전 프리프레그를 활용한 Hi-Performance CCL의 제작 및 물성 개선
34층 다층 기판 Press 제조공정기술 최적화 및 제조
㈜폴라리스우노 익산공장과 ㈜보광절연소재로부터 개발된 Prepreg를 적용하여 CCL 및 고다층 PCB를 제작하였으며,
4차년도 정량목표 항목인 CCL 내알칼리성은 size 변화 없었고, 동박접착강도는 1.3 kN/m(=kgf/cm),
고다층 기판(34층) 시제품 1건 제작하였고, 신뢰성 평가 항목인 Thermal Shock 200 cycle, CAF 1000시간 모두 목표치를 달성

[제조된 34층 고다층 기판]
저유전 Prepreg 용 Resin Formulation 개발
수지(24)+첨가제(22)+필러(48)+난연제(6)으로 formulation 하여 1035 유리섬유에 함침하여
prepreg 제조 결과 유전율 3.15 유전손실 0.0039을 얻음
| 수지 | 가교 가소제 | 개시제 | 고무 | Filter | 난연제 | BMI | P/S 보완제 | 용매 | Glass | 두께 | 유전율 | 손실 계수 | DMA Tg |
|||
|---|---|---|---|---|---|---|---|---|---|---|---|---|---|---|---|---|
| PPE | TAIC | T-buty peroxid |
고무-1 (70%) |
고무-2 | 석경 68% |
PX-20 0 |
난연제 | NBMI | Epoxy 배합물 |
MEK | TOL | KGF 1035 |
mm | 28 GHz |
28 GHz |
온도 (°C) |
| 50 | 13.4 | 0.66 | 22 | 6.6 | 100 | 5 | 8.2 | 1.6 | 1.6 | 84 | 16 | 0.0056 | 3.15 | 0.0039 | 186 | |
1035 유리섬유에 함침하여 prepreg 제조 결과 Resin Content 요구함량(1.05%) 및 좌우 편차(0.23%),
Resin Flow(12.05%) 및 좌우편차(0.76%), Prepreg 두께(34㎛)를 만족하는 박형의prepreg를 얻음

[KGF 개발 유리섬유(좌) 및 ㈜폴라리스우노 개발 수지 적용 PPG 제작]
TLB로부터 받은 CCL의 유전율/유전손실 평가
- 유전손실 (@10GHz): 0.0021~0.003 유전율 (@10GHz): 2.94~3.01
인쇄형 비아 충진 소재의 전기전도도 평가 : 비저항: 3.2 μΩ․cm
SIW 필터 삽입손실 : 4.5dB @28GHz
두께 예측모델 정립 - CCL 및 다층 PCB 두께 예측 모델 정립 (+/-6%)
- TLB에서 제조한 CCL은 Simulation 값과 실제 측정값을 비교해본 결과 차이는 0.7~1.5%이며 전체적으로는 1% 수준임
- TLB에서 제조한 34층 PCB의 경우엔 층간 절연체층의 실제 값과 simulation 값의 차이는 -5.6~1.3%임